题目内容
已知f(x)=xlnx,(1)当a=2时,求函数y=g(x)在[0,3]上的值域;
(2)求函数f(x)在[t,t+2](t>0)上的最小值;
(3)证明:对一切x∈(0,+∞),都有
【答案】分析:(1)当a=2时,由g(x)=
,x∈[0,3],利用二次函数的性质求出它的值域.
(2)利用函数f(x)的导数的符号,分类讨论f(x)单调性,从而求出f(x)的最小值.
(3)令 h(x)=
=
-
,通过 h′(x)=
的符号研究h(x)的单调性,求出h(x)的最大值为h(1)=-
.再由f(x)=xlnx在(0,+∞)上的最小值为-
,且f(1)=0大于h(1),可得在(0,+∞)上恒有f(x)>h(x),即
.
解答:解:(1)当a=2时,g(x)=
,x∈[0,3],
当x=1时,
;当x=3时,
,
故g(x)值域为
.
(2)f'(x)=lnx+1,当
,f'(x)<0,f(x)单调递减,
当
,f'(x)>0,f(x)单调递增.
①若
,t无解;
②若
,即
时,
;
③若
,即
时,f(x)在[t,t+2]上单调递增,f(x)min=f(t)=tlnt,
所以 f(x)min=
.
(3)证明:令 h(x)=
=
-
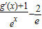
,h′(x)=
,
当 0<x<1时,h′(x)>0,h(x)是增函数.当1<x时. h′(x)<0,h(x)是减函数,
故h(x) 在(0,+∞)上的最大值为h(1)=-
.
而由(2)可得,f(x)=xlnx在(0,+∞)上的最小值为-
,
且当h(x) 在(0,+∞)上的最大值为h(1)时,f(x)的值为ln1=0,
故在(0,+∞)上恒有f(x)>h(x),即
.
点评:本题主要考查利用导数研究函数的单调性,二次函数的性质,函数的恒成立问题,属于中档题.
(2)利用函数f(x)的导数的符号,分类讨论f(x)单调性,从而求出f(x)的最小值.
(3)令 h(x)=
解答:解:(1)当a=2时,g(x)=
当x=1时,
故g(x)值域为
(2)f'(x)=lnx+1,当
当
①若
②若
③若
所以 f(x)min=
(3)证明:令 h(x)=
当 0<x<1时,h′(x)>0,h(x)是增函数.当1<x时. h′(x)<0,h(x)是减函数,
故h(x) 在(0,+∞)上的最大值为h(1)=-
而由(2)可得,f(x)=xlnx在(0,+∞)上的最小值为-
且当h(x) 在(0,+∞)上的最大值为h(1)时,f(x)的值为ln1=0,
故在(0,+∞)上恒有f(x)>h(x),即
点评:本题主要考查利用导数研究函数的单调性,二次函数的性质,函数的恒成立问题,属于中档题.
练习册系列答案
相关题目