题目内容
设函数f(x)=ax2+bx+c(a≠0),曲线y=f(x)通过点(0,2a+3),且在点(-1,f(-1))处的切线垂直于y轴,
(Ⅰ)用a分别表示b和c;
(Ⅱ)当bc取得最小值时,求函数g(x)=-f(x)e-x的单调区间。
(Ⅰ)用a分别表示b和c;
(Ⅱ)当bc取得最小值时,求函数g(x)=-f(x)e-x的单调区间。
解:(Ⅰ)因为
,
所以f′(x)=2ax+b,
又因为曲线y=f(x)通过点(0,2a+3),
故f(0)=2a+3,
而f(0)=c,
从而c=2a+3,
又曲线y=f(x)在(-1,f(-1))处的切线垂直于y轴,
故f′(-1)=0,即-2a+b=0,
因此b=2a;
(Ⅱ)由(Ⅰ)得
,
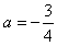
故当
时,bc取得最小值
,
此时有
,
从而
,
,
所以
,
令g′(x)=0,解得
,
当x∈(-∞,-2)时,g′(x)<0,故g(x)在x∈(-∞,-2)上为减函数;
当x∈(-2,2)时,g′(x)>0,故g(x)在x∈(-2,2)上为增函数;
当x∈(2,+∞)时,g′(x)<0,故g(x)在x∈(2,+∞)上为减函数;
由此可见,函数g(x)的单调递减区间为(-∞,-2)和(2,+∞);单调递增区间为(-2,2)。
所以f′(x)=2ax+b,
又因为曲线y=f(x)通过点(0,2a+3),
故f(0)=2a+3,
而f(0)=c,
从而c=2a+3,
又曲线y=f(x)在(-1,f(-1))处的切线垂直于y轴,
故f′(-1)=0,即-2a+b=0,
因此b=2a;
(Ⅱ)由(Ⅰ)得
故当
此时有
从而
所以
令g′(x)=0,解得
当x∈(-∞,-2)时,g′(x)<0,故g(x)在x∈(-∞,-2)上为减函数;
当x∈(-2,2)时,g′(x)>0,故g(x)在x∈(-2,2)上为增函数;
当x∈(2,+∞)时,g′(x)<0,故g(x)在x∈(2,+∞)上为减函数;
由此可见,函数g(x)的单调递减区间为(-∞,-2)和(2,+∞);单调递增区间为(-2,2)。
练习册系列答案
相关题目