题目内容
△ABC的三边a,b,c的倒数成等差数列,则b边所对的角为( )A.锐角
B.钝角
C.直角
D.不能确定
【答案】分析:方法一:使用余弦定理,由已知求出
,计算cosB=
的符号,进而可求B的范围
方法二:反证法,假设
,则 b为最大边,有b>a>0,b>c>0,结合已知进行推导可求
方法三:反证法由题意可得
=
,故b边不是最大边,也不是最小边.假设B≥
,则最大边所对的角大于
,这与三角形内角和相矛盾,从而可得
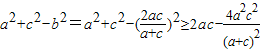
解答:解:方法一:由题意可得
.
∴
,
∵
=
.
即cosB=
>0
故
法2:反证法:假设
则有b>a>0,b>c>0.
则
可得
与已知矛盾,
假设不成立,原命题正确.
(法三)∵△ABC的三边a,b,c的倒数成等差数列,
∴
=
,故b边不是最大边,也不是最小边.
若B≥
,则最大边所对的角大于
,这与三角形内角和相矛盾,故
.
点评:本题主要考查了利用余弦定理解三角形,其中方法一 使用余弦定理直接求解,方法二、三,使用反证法,方法二,三比较简单.
方法二:反证法,假设
方法三:反证法由题意可得
解答:解:方法一:由题意可得
∴
∵
即cosB=
故
法2:反证法:假设
则有b>a>0,b>c>0.
则
可得
假设不成立,原命题正确.
(法三)∵△ABC的三边a,b,c的倒数成等差数列,
∴
若B≥
点评:本题主要考查了利用余弦定理解三角形,其中方法一 使用余弦定理直接求解,方法二、三,使用反证法,方法二,三比较简单.
练习册系列答案
相关题目