题目内容
A.4
B.
C.2
D.
【答案】分析:通过正三棱柱的体积,求出正三棱柱的高,棱长,然后求出左视图矩形的长和宽,即可求出面积.
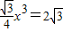
解答:解:一个正三棱柱的侧棱长和底面边长相等,体积为
,设高为:x,所以
,x=2,
左视图的矩形长为:2,宽为:
;矩形的面积为:2
故选B
点评:本题是基础题,考查正三棱柱的左视图的面积的求法,考查计算能力,空间想象能力.
解答:解:一个正三棱柱的侧棱长和底面边长相等,体积为
左视图的矩形长为:2,宽为:
故选B
点评:本题是基础题,考查正三棱柱的左视图的面积的求法,考查计算能力,空间想象能力.
练习册系列答案
相关题目