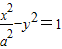
题目内容
双曲线A.
B.
C.
D.
【答案】分析:利用双曲线
(a>0)的焦点与椭圆
的焦点重合,求出a,c,从而可求双曲线的离心率.
解答:解:由题意,c2=a2+1=4-1,∴a=
,c=
∴e=
=
故选D.
点评:本题考查双曲线、椭圆的几何性质,考查学生的计算能力,属于基础题.
解答:解:由题意,c2=a2+1=4-1,∴a=
∴e=
故选D.
点评:本题考查双曲线、椭圆的几何性质,考查学生的计算能力,属于基础题.
练习册系列答案
相关题目