题目内容
在直角坐标系xoy中,设倾斜角为α的直线(1)若
(2)若|PA|•|PB|=|OP|2,其中
【答案】分析:(1)把直线和圆的参数方程化为普通方程,联立后根据根与系数的关系求出两交点中点的横坐标,待入直线方程再求中点的纵坐标;
(2)把直线方程和圆的方程联立,化为关于t的一元二次方程,运用直线参数方程中参数t的几何意义,结合给出的等式求解直线的倾斜角的正切值,则斜率可求,
解答:解:(1)当
时,由
,得
,所以直线方程为
,
由
,得曲线C的普通方程为
,
设A(x1,y1),B(x2,y2)再由
,得:13x2-24x+8=0,
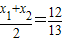
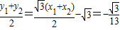
所以
,
,所以M的坐标为
(2)把直线的参数方程代入
,得:
,
所以
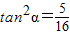
,由|PA|•|PB|=|t1t2|=|OP|2=7,得:
,所以
,
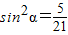
,
所以
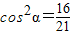
,所以
.
所以直线L的斜率为
.
点评:本题考查了参数方程化普通方程,考查了直线的斜率、直线与椭圆的位置关系,解答此题(2)的关键是灵活运用直线参数方程中参数的几何意义,是中档题.
(2)把直线方程和圆的方程联立,化为关于t的一元二次方程,运用直线参数方程中参数t的几何意义,结合给出的等式求解直线的倾斜角的正切值,则斜率可求,
解答:解:(1)当
由
设A(x1,y1),B(x2,y2)再由
所以
(2)把直线的参数方程代入
所以
所以
所以直线L的斜率为
点评:本题考查了参数方程化普通方程,考查了直线的斜率、直线与椭圆的位置关系,解答此题(2)的关键是灵活运用直线参数方程中参数的几何意义,是中档题.
练习册系列答案
相关题目