题目内容
已知等差数列{an}的前n项和为Sn,且a2=3,S15=225.(1)求数列{an}的通项公式;
(2)设
【答案】分析:(1)设出等差数列的首项和公差,由a2=3,S15=225列关于首项和公差的方程组求解首项和公差,然后代入通项公式即可;
(2)把an代入
,分组后运用等比数列和等差数列的求和公式进行计算.
解答:解:(1)设数列{an}的公差为d,依题意得:
解得
∴数列{an}的通项公式an=2n-1.
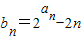
(2)由(1)得
,
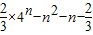
∴Tn=b1+b2+…+bn=
=
=
.
点评:本题考查了等差数列的通项公式,考查了数列的求和,分组求和是数列求和的一种重要方法,此题是中档题.
(2)把an代入
解答:解:(1)设数列{an}的公差为d,依题意得:
解得
∴数列{an}的通项公式an=2n-1.
(2)由(1)得
∴Tn=b1+b2+…+bn=
=
=
点评:本题考查了等差数列的通项公式,考查了数列的求和,分组求和是数列求和的一种重要方法,此题是中档题.
练习册系列答案
相关题目