题目内容

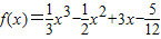
对于函数,若某一三角形的边长,则称可构造三角形函数.已知函数可构造三角形函数”,则实数t的取值范围是( )

A B C D

 

【答案】

D

【解析】

试题分析:由已知得

时,,由,得;当时,显然是“可构造三角形函数”;当时,,则.综上所述:,故选D

考点:函数的性质(有界性、最大值和最小值).

 

练习册系列答案
相关题目

违法和不良信息举报电话:027-86699610 举报邮箱:58377363@163.com

精英家教网