题目内容
已知数列中,,.且为等比数列。(1) 求实数及数列、的通项公式;(2) 若为的前项和,求。
略
解析
已知数列中,,(且).
(Ⅰ)若数列为等差数列,求实数的值;
(Ⅱ)求数列的前项和.
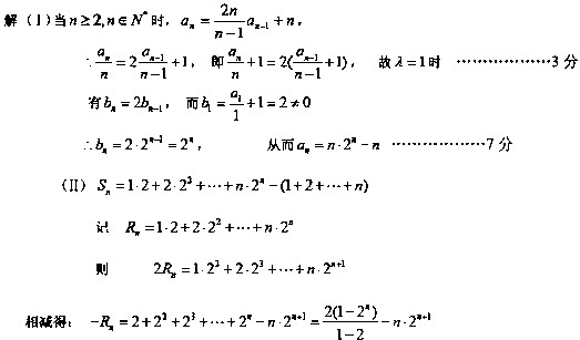
(本题满分12分)已知数列中,,.且k为等比数列。 (Ⅰ) 求实数及数列、的通项公式;(Ⅱ) 若为的前项和,求
.若果数列的项构成的新数列是公比为的等比数列,则相应的数列是公比为的等比数列,运用此性质,可以较为简洁的求出一类递推数列的通项公式,并简称此法为双等比数列法.已知数列中,,,且.(1)试利用双等比数列法求数列的通项公式;(2)求数列的前项和
已知数列中,,.且等比数列满足:。
(Ⅰ) 求实数及数列、的通项公式;
(Ⅱ) 若为的前项和,求;
(Ⅲ) 令数列{}前项和为.求证:对任意,都有<3.