题目内容
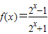
已知函数(1)求a的值;
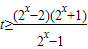
(2)当x∈≥2x-2恒成立,求实数t的取值范围.
【答案】分析:(1)根据奇函数的性质,令f(0)=0列出方程,求出a的值;
(2)由0<x≤1判断出f(x)>0,再把t分离出来转化为
对x∈(0,1]时恒成立,利用换元法:令m=2x-1,代入上式并求出m的范围,再转化为求
在(0,1]上的最大值.
解答:解:(1)∵函数
(a>0且a≠1)是定义在(-∞,+∞)上的奇函数,
∴
,解得a=2.
(2)由(1)得
,当0<x≤1时,f(x)>0.
∴当0<x≤1时,t•f(x)≥2x-2恒成立,
则等价于
对x∈(0,1]时恒成立,
令m=2x-1,0<m≤1,即
当0<m≤1时恒成立,
既
在(0,1]上的最大值,易知
在(0,1]上单调递增,
∴当m=1时
有最大值1,所以t≥1,
故所求的t范围是:t≥1.
点评:本题考查了奇函数的性质应用,恒成立问题以及转化思想和分离常数法求参数范围,难度较大.
(2)由0<x≤1判断出f(x)>0,再把t分离出来转化为
解答:解:(1)∵函数
∴
(2)由(1)得
∴当0<x≤1时,t•f(x)≥2x-2恒成立,
则等价于
令m=2x-1,0<m≤1,即
既
∴当m=1时
故所求的t范围是:t≥1.
点评:本题考查了奇函数的性质应用,恒成立问题以及转化思想和分离常数法求参数范围,难度较大.
练习册系列答案
相关题目