题目内容
已知在四棱锥P-ABCD中,侧面PAB⊥底面ABCD,O为AB中点,AD∥BC,AB⊥BC,PA=PB=BC=AB=2,AD=3.(Ⅰ)求证:CD⊥平面POC;
(Ⅱ)求二面角O-PD-C的余弦值.
【答案】分析:(Ⅰ)利用侧面PAB⊥底面ABCD,可证PO⊥底面ABCD,从而可证PO⊥CD,利用勾股定理,可证OC⊥CD,从而利用线面垂直的判定,可得CD⊥平面POC;
(Ⅱ)解法一:建立坐标系,确定平面OPD、平面PCD的一个法向量,利用向量的夹角公式,可求二面角O-PD-C的余弦值;
解法二:过点C作CM⊥OD于点M,过点M作MN⊥PD于点N,连接CN,证明∠MNC是二面角O-PD-C的平面角,从而可求二面角O-PD-C的余弦值.
解答:
(Ⅰ)证明:∵PA=PB=AB,O为AB中点,∴PO⊥AB
∵侧面PAB⊥底面ABCD,PO?侧面PAB,侧面PAB∩底面ABCD=AB,∴PO⊥底面ABCD
∵CD?底面ABCD,∴PO⊥CD
在Rt△OBC中,OC2=OB2+BC2=5
在Rt△OAD中,OD2=OA2+AD2=10
在直角梯形ABCD中,CD2=AB2+(AD-BC)2=5
∴OC2+CD2=OD2,∴△ODC是以∠OCD为直角的直角三角形,∴OC⊥CD
∵OC,OP是平面POC内的两条相交直线
∴CD⊥平面POC…(6分)
(Ⅱ)解法一:如图建立空间直角坐标系O-xyz,则
,D(-1,3,0),C(1,2,0)
∴
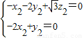
假设平面OPD的一个法向量为
,平面PCD的法向量为
,则
由
可得
,取y1=1,得x1=3,z1=0,即
,
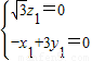
由
可得
,取
,得
,z2=5,
即
,∴
故二面角O-PD-C的余弦值为
.…(12分)
解法二:过点C作CM⊥OD于点M,过点M作MN⊥PD于点N,连接CN.
则由于P
O⊥平面OCD,PO?平面POD,所以平面POD⊥平面OCD,
∵CM?平面OCD,平面POD∩平面OCD=OD,∴CM⊥平面POD,∴CM⊥PD,
∵MN⊥PD,MN∩CM=M,∴PD⊥平面MCN,∴PD⊥NC,
即∠MNC是二面角O-PD-C的平面角.
在Rt△OCD中,
,
在Rt△PCD中,
,
所以
,所以
故二面角O-PD-C的余弦值为
.…(12分)
点评:本题考查线面垂直,考查面面角,考查向量方法解决空间角问题,正确运用线面垂直的判定是关键.
(Ⅱ)解法一:建立坐标系,确定平面OPD、平面PCD的一个法向量,利用向量的夹角公式,可求二面角O-PD-C的余弦值;
解法二:过点C作CM⊥OD于点M,过点M作MN⊥PD于点N,连接CN,证明∠MNC是二面角O-PD-C的平面角,从而可求二面角O-PD-C的余弦值.
解答:
∵侧面PAB⊥底面ABCD,PO?侧面PAB,侧面PAB∩底面ABCD=AB,∴PO⊥底面ABCD
∵CD?底面ABCD,∴PO⊥CD
在Rt△OBC中,OC2=OB2+BC2=5
在Rt△OAD中,OD2=OA2+AD2=10
在直角梯形ABCD中,CD2=AB2+(AD-BC)2=5
∴OC2+CD2=OD2,∴△ODC是以∠OCD为直角的直角三角形,∴OC⊥CD
∵OC,OP是平面POC内的两条相交直线
∴CD⊥平面POC…(6分)
(Ⅱ)解法一:如图建立空间直角坐标系O-xyz,则
∴
假设平面OPD的一个法向量为
由
由
即
故二面角O-PD-C的余弦值为
解法二:过点C作CM⊥OD于点M,过点M作MN⊥PD于点N,连接CN.
则由于P
∵CM?平面OCD,平面POD∩平面OCD=OD,∴CM⊥平面POD,∴CM⊥PD,
∵MN⊥PD,MN∩CM=M,∴PD⊥平面MCN,∴PD⊥NC,
即∠MNC是二面角O-PD-C的平面角.
在Rt△OCD中,
在Rt△PCD中,
所以
故二面角O-PD-C的余弦值为
点评:本题考查线面垂直,考查面面角,考查向量方法解决空间角问题,正确运用线面垂直的判定是关键.
练习册系列答案
相关题目