题目内容
在△ABC中,AB=3,AC=4,BC=5,O点是内心,且
【答案】分析:根据三角形是直角三角形,得到它的内心的位置,从而表示出向量
,根据向量之间的加减关系,写出向量与要求两个向量之间的关系,得到两个系数的值,求和得到结果.
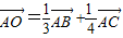
解答:解:∵由题意可知
=
=
,
∴
,
∴两个数字之和是
,
故答案为:
.
点评:用一组向量来表示一个向量,是以后解题过程中常见到的,向量的加减运算是用向量解决问题的基础,要学好运算,才能用向量解决立体几何问题,三角函数问题,好多问题都是以向量为载体的
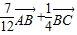
解答:解:∵由题意可知
=
=
∴
∴两个数字之和是
故答案为:
点评:用一组向量来表示一个向量,是以后解题过程中常见到的,向量的加减运算是用向量解决问题的基础,要学好运算,才能用向量解决立体几何问题,三角函数问题,好多问题都是以向量为载体的
练习册系列答案
相关题目