题目内容
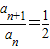
数列{an}中,
【答案】分析:由递推式可得到给出的数列是等比数列,直接由等比数列的通项公式求解.
解答:解由,
,
所以
,
则数列{an}是以1为首项,以
为公比的等比数列.
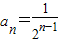
所以
.
故答案为
.
点评:本题考查了等比数列的通项公式,考查了数列的递推式,是基础题.
解答:解由,
所以
则数列{an}是以1为首项,以
所以
故答案为
点评:本题考查了等比数列的通项公式,考查了数列的递推式,是基础题.
练习册系列答案
相关题目