题目内容
已知椭圆A.
B.
C.(0,1)
D.
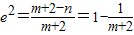
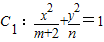
【答案】分析:根据椭圆
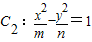
与双曲线
共焦点,确定n的值与m的范围,进一步可求椭圆C1的离心率e的取值范围
解答:解:由题意,m+2-n=m+n,∴n=1
又m+2>n,m>0,∴m+2>2
∵
∴
∴
故选A.
点评:本题考查椭圆、双曲线的几何性质,考查学生的计算能力,属于基础题.
解答:解:由题意,m+2-n=m+n,∴n=1
又m+2>n,m>0,∴m+2>2
∵
∴
∴
故选A.
点评:本题考查椭圆、双曲线的几何性质,考查学生的计算能力,属于基础题.
练习册系列答案
相关题目