题目内容
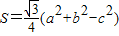
在△ABC中,角A,B,C所对的边分别为a,b,c,设S为△ABC的面积,满足(Ⅰ)求角C的大小;
(Ⅱ)求sinA+sinB的最大值.
【答案】分析:(1)根据三角形的面积公式题中所给条件可得
=
absinC,可求出tanC的值,再由三角形内角的范围可求出角C的值.
(2)根据三角形内角和为180°将角AB转化为同一个角表示,然后根据两角和的正弦定理可得答案.
解答:(Ⅰ)解:由题意可知
absinC=
×2abcosC.
所以tanC=
.
因为0<C<π,
所以C=
;
(Ⅱ)解:由已知sinA+sinB
=sinA+sin(π-C-A)
=sinA+sin(
-A)
=sinA+
cosA+
sinA=
sinA+
cosA=
sin(A+
)≤
.
当△ABC为正三角形时取等号,
所以sinA+sinB的最大值是
.
点评:本题主要考查余弦定理、三角形面积公式、三角变换等基础知识,同时考查三角运算求解能力.
(2)根据三角形内角和为180°将角AB转化为同一个角表示,然后根据两角和的正弦定理可得答案.
解答:(Ⅰ)解:由题意可知
所以tanC=
因为0<C<π,
所以C=
(Ⅱ)解:由已知sinA+sinB
=sinA+sin(π-C-A)
=sinA+sin(
=sinA+
当△ABC为正三角形时取等号,
所以sinA+sinB的最大值是
点评:本题主要考查余弦定理、三角形面积公式、三角变换等基础知识,同时考查三角运算求解能力.
练习册系列答案
相关题目
在△ABC中,角A、B、C所对的边分别为a,b,c,若b2+c2-a2=
bc,且b=
a,则下列关系一定不成立的是( )
| 3 |
| 3 |
| A、a=c |
| B、b=c |
| C、2a=c |
| D、a2+b2=c2 |