搜索
题目内容
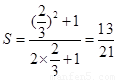
执行如图所示的程序框图,输出的S值为
.
试题答案
相关练习册答案
【答案】
【解析】
试题分析:当
时,
;当
时,
;当
时,
.
考点:1.根据程序框图求解.
练习册系列答案
名校之约暑假作业系列答案
课时练提速训练系列答案
暑假作业光明日报出版社系列答案
黄冈小状元解决问题天天练系列答案
黄冈小状元小秘招系列答案
三点一测快乐周计划系列答案
聚焦课堂四川大学出版社系列答案
暑假作业甘肃教育出版社系列答案
暑假作业大众文艺出版社系列答案
暑假作业吉林教育出版社系列答案
相关题目
执行如图所示的程序框图,输出的结果是511,则判断框中应填入( )
A.A>8
B.A<8
C.A>9
D.A<9
(2011•聊城一模)执行如图所示的程序框图后,若输出的结果为16,则判断框内应填( )
A.a>3
B.a>4
C.a<3
D.a≤4
(2013•东城区一模)执行如图所示的程序框图,输出的结果是
5
6
,则判断框内应填入的条件是( )
A.n≤5?
B.n<5?
C.n>5?
D.n≥5?
(2013•东城区模拟)执行如图所示的程序,输出的结果为20,则判断框中应填入的条件为( )
A.a≥2
B.a≥3
C.a≥4
D.a≥5
执行如图所示的程序框图,若判断框内填的条件是i≤2014,则输出的结果S是
.
关 闭
试题分类
高中
数学
英语
物理
化学
生物
地理
初中
数学
英语
物理
化学
生物
地理
小学
数学
英语
其他
阅读理解答案
已回答习题
未回答习题
题目汇总
试卷汇总
练习册解析答案