题目内容
已知数列{an}的前n项和为Sn满足:(1)若a=2,求数列{an}的通项公式
(2)设
(3)在满足条件(2)的情形下,设
【答案】分析:(1)当a=2时,Sn=2an-2,当n≥2时,Sn=2an-2Sn-1=2an-1′-2,两式相减得到递推公式,再求解.
(2)由(1)知,
,利用特殊项,必有
,求出a,再回代验证,确定a的值.
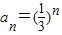
(3)由(2)知
,可得
=
=
,直接求和不易化简计算,先进行放缩得出
,求和及证明可行.
解答:解:(1)当a=2时,Sn=2an-2
当n=1时,S1=2a1-2⇒a1=2…(1分)
当n≥2时,Sn=2an-2Sn-1=2an-1′-2…(2分)
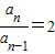
两式相减得到an=2an-2an-1,(an-1≠0)得到
…(3分)
…(4分)
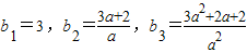
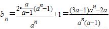
(2)由(1)知,
,
若{bn}为等比数列,
则有
,而
,
故
,解得
,再将
代入得
成立,所以
. …(9分)
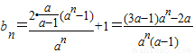
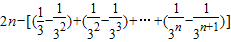
(3)证明:由(2)知
,
所以
=
=
,…11
由
得
,
所以
,…13
从而
=
=
.
即
.…14
点评:本题考查数列通项公式求解,数列性质的判断,数列求和及放缩法证明不等式,灵活的考查了知识,具有一定的综合性,属于中档题,也是好题.
(2)由(1)知,
(3)由(2)知
解答:解:(1)当a=2时,Sn=2an-2
当n=1时,S1=2a1-2⇒a1=2…(1分)
当n≥2时,Sn=2an-2Sn-1=2an-1′-2…(2分)
两式相减得到an=2an-2an-1,(an-1≠0)得到
(2)由(1)知,
若{bn}为等比数列,
则有
故
(3)证明:由(2)知
所以
由
所以
从而
即
点评:本题考查数列通项公式求解,数列性质的判断,数列求和及放缩法证明不等式,灵活的考查了知识,具有一定的综合性,属于中档题,也是好题.
练习册系列答案
相关题目
已知数列{an}的前n项和Sn=an2+bn(a、b∈R),且S25=100,则a12+a14等于( )
| A、16 | B、8 | C、4 | D、不确定 |