题目内容
已知函数
的最小正周期为
(1)求f(x);
(2)当
时,求函数f(x)的值域.
(1)求f(x);
(2)当
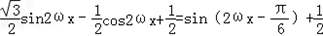
解:(1)
=
.
∵函数f(x)的最小正周期为
,且
>0,
∴
=
,
解得
=1.
∴
.
(2)∵
,
∴
.
根据正弦函数的图象可得:当
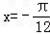
,即
时,
取最大值1
当
,即
时
取最小值
.
∴
,
即f(x)的值域为
.
=
∵函数f(x)的最小正周期为
∴
解得
∴
(2)∵
∴
根据正弦函数的图象可得:当
当
∴
即f(x)的值域为
练习册系列答案
相关题目