题目内容

已知正项数列{an},{bn}满足a1=3,a2=6,{bn}是等差数列,且对任意正整数n,都有成等比数列.
( I)求数列{bn}的通项公式;
(Ⅱ)设,试比较2Sn的大小.
【答案】分析:(I)利用正项数列{an},{bn}满足对任意正整数n,都有成等比数列,可得an=bnbn+1,结合{bn}是等差数列,可求数列的公差,从而可求数列{bn}的通项公式;
(Ⅱ)确定数列{an}的通项,利用裂项法求和,再作出比较,可得结论.
解答:解:(I)∵正项数列{an},{bn}满足对任意正整数n,都有成等比数列,
∴an=bnbn+1
∵a1=3,a2=6,∴b1b2=3,b2b3=6
∵{bn}是等差数列,∴b1+b3=2b2,∴b1=,b2=
∴bn=
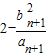
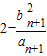
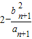
(Ⅱ)an=bnbn+1=,则=2(
∴Sn=2[()+()+…+()]=1-
∴2Sn=2-
=2-
∴2Sn-()=
∴当n=1,2时,2Sn;当n≥3时,2Sn
点评:本题考查数列的通项与求和,考查大小比较,考查学生的计算能力,确定数列的通项是关键.
练习册系列答案
相关题目

违法和不良信息举报电话:027-86699610 举报邮箱:58377363@163.com

精英家教网