题目内容

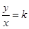
若点在曲线为参数,)上,则的取值范围是     .

 

【答案】

.

【解析】

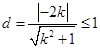
试题分析:曲线为参数,)表示的是以点为圆心,以为半径长的圆,令,即,即点既在直线上,也在圆上,则圆心到直线的距离,解得,即的取值范围是.

考点:1.圆的参数方程;2.直线与圆的位置关系

 

练习册系列答案
相关题目

违法和不良信息举报电话:027-86699610 举报邮箱:58377363@163.com

精英家教网