题目内容
在△ABC中,内角A,B,C所对的边长分别是a,b,c.(Ⅰ)若c=2,
(Ⅱ)若sinC+sin(B-A)=sin2A,试判断△ABC的形状.
【答案】分析:(Ⅰ)根据余弦定理,得c2=a2+b2-ab=4,再由面积正弦定理得
,两式联解可得到a,b的值;
(Ⅱ)根据三角形内角和定理,得到sinC=sin(A+B),代入已知等式,展开化简合并,得sinBcosA=sinAcosA,最后讨论当cosA=0时与当cosA≠0时,分别对△ABC的形状的形状加以判断,可以得到结论.
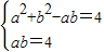
解答:解:(Ⅰ)由余弦定理 及已知条件得,a2+b2-ab=4,….(3分)
又因为△ABC的面积等于
,所以
,得ab=4.(5分)
联立方程组
解得a=2,b=2.(7分)
(Ⅱ)由题意得:sinC+sin(B-A)=sin2A
得到sin(A+B)+sin(B-A)=sin2A=2sinAcoA
即:sinAcosB+cosAsinB+sinAcosB-cosAsinB=2sinAcoA
所以有:sinBcosA=sinAcosA,(10分)
当cosA=0时,
,△ABC为直角三角形(12分)
当cosA≠0时,得sinB=sinA,由正弦定理得a=b,
所以,△ABC为等腰三角形.(14分)
点评:本题考查了正弦定理与余弦定理的应用,属于中档题.熟练掌握三角函数的有关公式,是解好本题的关键.
(Ⅱ)根据三角形内角和定理,得到sinC=sin(A+B),代入已知等式,展开化简合并,得sinBcosA=sinAcosA,最后讨论当cosA=0时与当cosA≠0时,分别对△ABC的形状的形状加以判断,可以得到结论.
解答:解:(Ⅰ)由余弦定理 及已知条件得,a2+b2-ab=4,….(3分)
又因为△ABC的面积等于
联立方程组
(Ⅱ)由题意得:sinC+sin(B-A)=sin2A
得到sin(A+B)+sin(B-A)=sin2A=2sinAcoA
即:sinAcosB+cosAsinB+sinAcosB-cosAsinB=2sinAcoA
所以有:sinBcosA=sinAcosA,(10分)
当cosA=0时,
当cosA≠0时,得sinB=sinA,由正弦定理得a=b,
所以,△ABC为等腰三角形.(14分)
点评:本题考查了正弦定理与余弦定理的应用,属于中档题.熟练掌握三角函数的有关公式,是解好本题的关键.
练习册系列答案
相关题目