题目内容
已知两条直线l1:ax-by+4=0,l2:(a-1)x+y+b=0,求满足下列条件的a,b值.(Ⅰ)l1⊥l2且l1过点(-3,-1);
(Ⅱ)l1∥l2且原点到这两直线的距离相等.
【答案】分析:(Ⅰ)通过l1⊥l2的充要条件得到关系式,l1过点(-3,-1)得到方程,然后求出a,b的值;
(Ⅱ)利用l1∥l2得到
,通过原点到这两直线的距离相等.即可求出a,b.
解答:解(Ⅰ)∵l1⊥l2,∴a(a-1)+(-b)×1=0…(1)
又l1过点(-3,-1),则-3a+b+4=0…(2)
联立(1)(2)可得,a=2,b=2. …(6分)
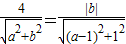
(Ⅱ)依题意有,
,且
,
解得a=2,b=-2或
. …(12分)
点评:本题是中档题,考查直线与直线的位置关系,平行与垂直的条件的应用,考查计算能力.
(Ⅱ)利用l1∥l2得到
解答:解(Ⅰ)∵l1⊥l2,∴a(a-1)+(-b)×1=0…(1)
又l1过点(-3,-1),则-3a+b+4=0…(2)
联立(1)(2)可得,a=2,b=2. …(6分)
(Ⅱ)依题意有,
解得a=2,b=-2或
点评:本题是中档题,考查直线与直线的位置关系,平行与垂直的条件的应用,考查计算能力.
练习册系列答案
相关题目
已知两条直线l1:(m+3)x+4y+3m-5=0,l2:2x+(m+5)y-8=0,l1∥l2,则直线l1的一个方向向量是( )
A、(1,-
| ||
| B、(-1,-1) | ||
| C、(1,-1) | ||
D、(-1,-
|