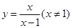
题目内容

如果函数图像上任意一点的坐标都满足方程,那么正确的选项是(   )

A.是区间上的减函数,且

B.是区间上的增函数,且

C.是区间上的减函数,且

D.是区间上的增函数,且

 

【答案】

A

【解析】

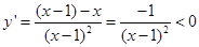
试题分析:由题意知,由基本不等式知,解得

,因,所以是区间上的减函数,且.

考点:1.函数的单调性;2.基本不等式求最值;3.对数运算.

 

练习册系列答案
相关题目

违法和不良信息举报电话:027-86699610 举报邮箱:58377363@163.com

精英家教网