题目内容
在△ABC中,∠A,∠B,∠C所对的边分别是a,b,c.
(Ⅰ)用余弦定理证明:当∠C为钝角时,a2+b2<c2;
(Ⅱ)当钝角△ABC的三边a,b,c是三个连续整数时,求△ABC外接圆的半径.
(Ⅰ)用余弦定理证明:当∠C为钝角时,a2+b2<c2;
(Ⅱ)当钝角△ABC的三边a,b,c是三个连续整数时,求△ABC外接圆的半径.
解:(Ⅰ)当∠C为钝角时,cosC<0,
由余弦定理得:c2=a2+b2﹣2ab
cosC>a2+b2, 即:a2+b2<c2.
(Ⅱ)设△ABC的三边分别为n﹣1,n,n+1(n≥2,n∈Z),
∵△ABC是钝角三角形,不妨设∠C为钝角,
由(Ⅰ)得(n﹣1)2+n2<(n+1)2
n2﹣4n<0
0<n<4,
∵n≥2,n∈Z,
∴n=2,n=3,
当n=2时,不能构成三角形,舍去,
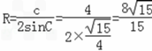
当n=3时,△ABC三边长分别为2,3,4,
,
△ABC外接圆的半径
.
由余弦定理得:c2=a2+b2﹣2ab
(Ⅱ)设△ABC的三边分别为n﹣1,n,n+1(n≥2,n∈Z),
∵△ABC是钝角三角形,不妨设∠C为钝角,
由(Ⅰ)得(n﹣1)2+n2<(n+1)2
∵n≥2,n∈Z,
∴n=2,n=3,
当n=2时,不能构成三角形,舍去,
当n=3时,△ABC三边长分别为2,3,4,
△ABC外接圆的半径
练习册系列答案
相关题目