搜索
题目内容
在△ABC中,cosA=-
,cosB=
。
(1)求sinC的值;
(2)设BC=5,求△ABC的面积。
试题答案
相关练习册答案
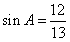
解:(1)由
得
由
得
所以
;
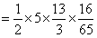
(2)由正弦定理得
所以
的面积
。
练习册系列答案
西城学科专项测试系列答案
小考必做系列答案
小考实战系列答案
小考复习精要系列答案
小考总动员系列答案
小升初必备冲刺48天系列答案
68所名校图书小升初高分夺冠真卷系列答案
伴你成长周周练月月测系列答案
小升初金卷导练系列答案
萌齐小升初强化模拟训练系列答案
相关题目
6、在△ABC中,cos(A-B)+sin(A+B)=2,则△ABC的形状为
等腰直角
三角形.
3、在△ABC中,cos 2B>cos 2A是A>B的( )
A、充分而不必要条件
B、必要而不充分条件
C、充要条件
D、既不充分也不必要条件
在△ABC中,
cos(A+C)=-
3
5
,且a,c的等比中项为
35
.
(1)求△ABC的面积;
(2)若a=7,求角C.
在△ABC中,
cos(A-C)+2co
s
2
B
2
=
5
2
,三边a,b,c成等比数列,求B.
如图,在△ABC中,cos∠ABC=
1
3
,AB=6,AD=2DC,点D在AC边上.
(Ⅰ)若BC=AC,求sin∠ADB;
(Ⅱ)若BD=4
3
,求BC的长.
关 闭
试题分类
高中
数学
英语
物理
化学
生物
地理
初中
数学
英语
物理
化学
生物
地理
小学
数学
英语
其他
阅读理解答案
已回答习题
未回答习题
题目汇总
试卷汇总
练习册解析答案