题目内容

根据下列程序画出相应的程序流程图.

S=1

n=1

WHILE S<1 000

S=S*n

n=n+1

WEND

PRINT n

END

解析:

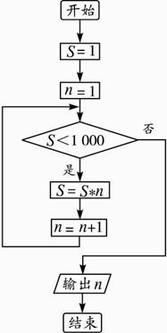
从上面程序可得出这是一个用循环语句写成的程序,从S=1,n=1开始,第一次循环求1×1,第二次循环求1×2,第三次循环求1×2×3,…,第n次循环求n!,即此程序是输出使n!<1 000的最大整数.?

画出程序流程图如下:?

点评:从利用循环语句解决具体问题的过程中,体会算法的基本思想,明确循环语句与算法中的循环结构相对应.当写程序且当语句较为复杂时,可先画出程序流程图;反之由程序再画流程图则更应注意先后顺序及逻辑关系.

练习册系列答案
相关题目

违法和不良信息举报电话:027-86699610 举报邮箱:58377363@163.com

精英家教网