题目内容
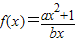
设函数f(x)=(Ⅰ)求a,b,c的值;
(Ⅱ)判断并证明f(x)在(-∞,-1]上的单调性.
【答案】分析:(Ⅰ)由f(-x)+f(x)=0,求得 c=0,即
.再由f(1)=2、f(2)<3,a∈N,求得a,b,的值,从而得到a,b,c的值.
(Ⅱ)由(Ⅰ)知,
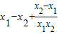
,f(x)在(-∞,-1]上单调递增.设x1<x2≤-1,则由f(x1)-f(x2)=
<0,从而得到 f(x)
在(-∞,-1]上单调递增.
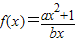
解答:解:(Ⅰ)由f(x)=
是奇函数得:f(-x)+f(x)=0,∴
,∴
,
解得 c=0,即
.
又f(1)=2,∴
.
又 f(2)<3,可得
,
,∴-1<a<2,
∵a∈N,∴a=0或1.
若a=0,则
(舍去),∴a=b=1,c=0.
(Ⅱ)由(Ⅰ)知,
,f(x)在(-∞,-1]上单调递增.
下用定义证明:设x1<x2≤-1,则:f(x1)-f(x2)=
=
=
,
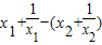
因为x1<x2≤-1,x1-x2<0,
,
∴f(x1)-f(x2)<0,故f(x)在(-∞,-1]上单调递增.
点评:本题主要考查函数的奇偶性的应用,用函数的单调性的定义证明函数的单调性,属于基础题.
(Ⅱ)由(Ⅰ)知,
在(-∞,-1]上单调递增.
解答:解:(Ⅰ)由f(x)=
解得 c=0,即
又f(1)=2,∴
又 f(2)<3,可得
∵a∈N,∴a=0或1.
若a=0,则
(Ⅱ)由(Ⅰ)知,
下用定义证明:设x1<x2≤-1,则:f(x1)-f(x2)=
因为x1<x2≤-1,x1-x2<0,
∴f(x1)-f(x2)<0,故f(x)在(-∞,-1]上单调递增.
点评:本题主要考查函数的奇偶性的应用,用函数的单调性的定义证明函数的单调性,属于基础题.
练习册系列答案
相关题目