题目内容
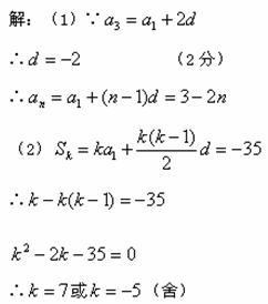
已知等差数列中,
(1)求数列的通项公式;
(2)若数列前项和,求的值。
已知函数
(1)求函数在上的最大值和最小值.
(2)求曲线在点处的切线方程.
已知函数,若,且,则的取值范围
是 .
已知函数,则不等式的解集为 ( )
A. B. C. D.
椭圆上的点到直线2x-y=7距离最近的点的坐标为( )
A.(-,) B.(,-) C.(-,) D.(,-)
函数,过曲线上的点的切线方程为.
(1)若在时有极值,求的表达式;
(2)若函数在区间[-2,1]上单调递增,求实数b的取值范围.
幂函数,其中,且在(0,+∞)上是减函数,又,则=( )
A. 0 B. 1 C. 2 D. 3
已知函数,
(Ⅰ)若,求方程的根;
(Ⅱ)若函数满足,求函数在的值域;
已知函数,(其中为常数);
(Ⅰ)如果函数和有相同的极值点,求的值;
(Ⅱ)设,问是否存在,使得,若存在,请求出实数的取值范围;若不存在,请说明理由.
(Ⅲ)记函数,若函数有5个不同的零点,求实数的取值范围.