题目内容
设椭圆C:(1)求椭圆C的离心率;
(2)若过A、Q、F2三点的圆恰好与直线l:
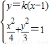
(3)在(2)的条件下,过右焦点F2作斜率为k的直线l与椭圆C交于M、N两点,在x轴上是否存在点P(m,0)使得以PM,PN为邻边的平行四边形是菱形,如果存在,求出m的取值范围,如果不存在,说明理由.
.
【答案】分析:(1)设Q(x,0),由F2(c,0),A(0,b)结合向量条件及向量运算得出关于a,c的等式,从而求得椭圆的离心率即可;
(2)由(1)知a,c的一个方程,再利用△AQF的外接圆得出另一个方程,解这两个方程组成的方程组即可求得所求椭圆方程;
(3)由(Ⅱ)知直线l:y=k(x-1),将直线的方程代入椭圆的方程,消去y得到关于x的一元二次方程,再结合根系数的关系利用弦长公式即可求得满足题意的点P且m的取值范围.
解答:解:(1)设Q(x,0),由F2(c,0),A(0,b)
知
∵
,∴
,
由于
即F1为F2Q中点.
故
∴b2=3c2=a2-c2,
故椭圆的离心率
,(3分)
(2)由(1)知
,得
于是F2(
a,0)Q
,
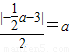
△AQF的外接圆圆心为(-
a,0),半径r=
|FQ|=a
所以
,解得a=2,∴c=1,b=
,
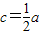
所求椭圆方程为
,(6分)
(3)由(Ⅱ)知F2(1,0)l:y=k(x-1)
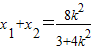
代入得(3+4k2)x2-8k2x+4k2-12=0
设M(x1,y1),N(x2,y2)
则
,y1+y2=k(x1+x2-2),(8分)
=(x1+x2-2m,y1+y2)
由于菱形对角线垂直,则

故k(y1+y2)+x1+x2-2m=0
则k2(x1+x2-2)+x1+x2-2m=0k2
(10分)
由已知条件知k≠0且k∈R∴
∴
故存在满足题意的点P且m的取值范围是
.(12分)
点评:当直线与圆锥曲线相交时 涉及弦长问题,常用“韦达定理法”设而不求计算弦长(即应用弦长公式);涉及弦长的中点问题,常用“点差法”设而不求,将弦所在直线的斜率、弦的中点坐标联系起来,相互转化 同时还应充分挖掘题目的隐含条件,寻找量与量间的关系灵活转化,往往就能事半功倍.
(2)由(1)知a,c的一个方程,再利用△AQF的外接圆得出另一个方程,解这两个方程组成的方程组即可求得所求椭圆方程;
(3)由(Ⅱ)知直线l:y=k(x-1),将直线的方程代入椭圆的方程,消去y得到关于x的一元二次方程,再结合根系数的关系利用弦长公式即可求得满足题意的点P且m的取值范围.
解答:解:(1)设Q(x,0),由F2(c,0),A(0,b)
知
∵
由于
故
故椭圆的离心率
(2)由(1)知
△AQF的外接圆圆心为(-
所以
所求椭圆方程为
(3)由(Ⅱ)知F2(1,0)l:y=k(x-1)
代入得(3+4k2)x2-8k2x+4k2-12=0
设M(x1,y1),N(x2,y2)
则
由于菱形对角线垂直,则
故k(y1+y2)+x1+x2-2m=0
则k2(x1+x2-2)+x1+x2-2m=0k2
由已知条件知k≠0且k∈R∴
故存在满足题意的点P且m的取值范围是
点评:当直线与圆锥曲线相交时 涉及弦长问题,常用“韦达定理法”设而不求计算弦长(即应用弦长公式);涉及弦长的中点问题,常用“点差法”设而不求,将弦所在直线的斜率、弦的中点坐标联系起来,相互转化 同时还应充分挖掘题目的隐含条件,寻找量与量间的关系灵活转化,往往就能事半功倍.
练习册系列答案
相关题目