题目内容
已知f(x)=(1)判断f(x)在(0,+∞)上的单调性并证明;
(2)若
【答案】分析:(1)利用函数的单调性的定义即可证明;
(2)因为
<ax在[1,+∞) 上恒成立?
,x∈[1,+∞).再利用(1)的单调性求出即可.
解答:解:(1)函数f(x)在(0,+∞)上是减函数.
证明如下:
任取x1、x2∈(0,+∞),且x1<x2,
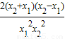
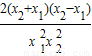
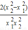
f(x1)-f(x2)=
-
=
=
=
.
∵0<x1<x2,∴x1+x2>0,x2-x1>0,x12x22>0.
∴f(x1)-f(x2)>0,即f(x1)>f(x2).
∴函数f(x)在(0,+∞)上是减函数.
(2)
<ax在[1,+∞) 上恒成立?
,x∈[1,+∞).
由(1)知,f(x)的单调减区间为(0,+∞),
∴函数f(x)在[1,+∞)上是减函数,
∴函数f(x)在[1,+∞)上的最大值为f(1)=2.
∴a>2
点评:熟练掌握证明函数单调性的方法和对恒成立问题正确转化是解题的关键.
(2)因为
解答:解:(1)函数f(x)在(0,+∞)上是减函数.
证明如下:
任取x1、x2∈(0,+∞),且x1<x2,
f(x1)-f(x2)=
∵0<x1<x2,∴x1+x2>0,x2-x1>0,x12x22>0.
∴f(x1)-f(x2)>0,即f(x1)>f(x2).
∴函数f(x)在(0,+∞)上是减函数.
(2)
由(1)知,f(x)的单调减区间为(0,+∞),
∴函数f(x)在[1,+∞)上是减函数,
∴函数f(x)在[1,+∞)上的最大值为f(1)=2.
∴a>2
点评:熟练掌握证明函数单调性的方法和对恒成立问题正确转化是解题的关键.
练习册系列答案
相关题目