题目内容
已知数列
,
,
,
,
,
为数列
的前
项和,
为数列
的前
项和.
(1)求数列
的通项公式;
(2)求数列
的前
项和
;
(3)求证:
.
【答案】
(1)
;(2)
;(3)详见解析.
【解析】
试题分析:(1)解法一是根据数列
递推式的结构选择累加法求数列
的通项公式;解法二是在数列
的递推式两边同时除以
,然后利用待定系数法求数列
的通项公式,进而求出数列
的通项公式;(2)先求出数列
的通项公式,然后根据数列
的通项结构,选择裂项相消法求数列
的前
项和
;(3)对数列
中的项利用放缩法![]()
,然后利用累加法即可证明所要证的不等式.
试题解析:(1)法一:![]()
,
![]()
法二:![]()
![]()
![]()
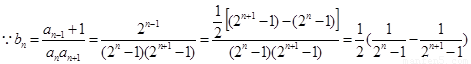
(2)![]()
![]()
![]()
![]()
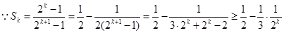
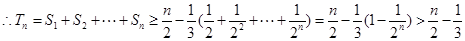
(3)证明:
,
.
考点:1.累加法求数列的通项公式;2.待定系数法求数列的通项公式;3.裂项相消法求数列的和;
4.利用放缩法证明数列不等式
练习册系列答案
相关题目
已知数列an=-2n+12,Sn为其前n项和,则Sn取最大值时,n值为( )
| A、7或6 | B、5或6 | C、5 | D、6 |