题目内容
已知关于x的不等式(1)当a=1时,求集合M.
(2)当3∈M且5∉M时,求实数a的取值范围.
【答案】分析:(1)当a=1时,不等式即
,用穿根法求得x的范围,可得集合M.
(2)当3∈M且5∉M时,有
①,且
②.分别求得①和②的解集,再把①②的解集取交集,即可求得实数a的取值范围.
解答:解:(1)当a=1时,不等式即
,用穿根法求得 x<-1,或1<x<5,
故集合M={x|x<-1,或1<x<5 }.
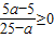
(2)当3∈M且5∉M时,有
①,且
②.
由①求得 a<
,或a>9;解②可得 1≤a<25.
再把①②的解集取交集可得1≤a<
,或 9<a<25.
故所求的实数a的取值范围为[1,
)∪(9,25).
点评:本题主要考查分式不等式的解法,体现了转化的数学思想,属于中档题.
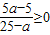
(2)当3∈M且5∉M时,有
解答:解:(1)当a=1时,不等式即
故集合M={x|x<-1,或1<x<5 }.
(2)当3∈M且5∉M时,有
由①求得 a<
再把①②的解集取交集可得1≤a<
故所求的实数a的取值范围为[1,
点评:本题主要考查分式不等式的解法,体现了转化的数学思想,属于中档题.
练习册系列答案
相关题目