题目内容
正四棱柱的对角线长是9cm, 全面积144cm2, 适合这条件的正四棱柱的个数是[ ]
A.1个 B.2个 C.3个 D.没有
答案:B
解析:
提示:
解析:
|
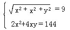
解:设正四棱柱的三条棱长为x、x、y有下列方程
整理为 ①-②:(x2-2xy+y2)=9 ∴(x-y)2=9 x-y=±3 代入①
|
提示:
|
设三边为x、x、y列出方程组 解出 看有几组解 |
练习册系列答案
相关题目
正四棱柱的对角线长是
9cm,全面积是[
]|
A .0个 |
B .惟一的 |
C .两个 |
D .无数个 |