题目内容
如果曲线y=b[1-(
)m]与x轴、y轴在第一象限所围成的面积为
bl,求m值.(其中b>0,l>0)
答案:
解析:
解析:
|
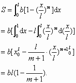
解:由所给曲线方程可得x=l时,y=0.所以在第一象限所围成的面积为 由 |
练习册系列答案
相关题目
题目内容
如果曲线y=b[1-(
)m]与x轴、y轴在第一象限所围成的面积为
bl,求m值.(其中b>0,l>0)
|
解:由所给曲线方程可得x=l时,y=0.所以在第一象限所围成的面积为 由 |