题目内容
等差数列{an}中,a1、a2、a3分别是下表第一、二、三列中的某个数,且a1、a2、a3中的任何两个数不在下表的同一行.
(Ⅰ)求数列{an}的通项公式;
(Ⅱ)求数列
的前n项和.
(Ⅱ)求数列
解:(Ⅰ)当a1=0时,不符合题意;
当a1=2时,不符合题意;
当a1=1时,a2=0,a3=﹣1符合题意; 公差d=﹣1
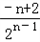
故:an=1+(n﹣1)×(﹣1)=﹣n+2
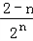
(Ⅱ)∵
=
∴Sn=
=
两式相减可得,
=1﹣(
)﹣
=
=
∴
当a1=2时,不符合题意;
当a1=1时,a2=0,a3=﹣1符合题意; 公差d=﹣1
故:an=1+(n﹣1)×(﹣1)=﹣n+2
(Ⅱ)∵
∴Sn=
两式相减可得,
∴
练习册系列答案
相关题目