题目内容
分段函数
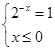
则满足
的
值为(
)
(A)
(B)
(C)
(D)![]()
【答案】
C
【解析】
试题分析:因为,
,所以,满足
的
满足
或![]()
解得,
值为
,故选D.
考点:分段函数,指数函数、对数函数的性质.
练习册系列答案
相关题目
题目内容
分段函数
则满足
的
值为(
)
(A)
(B)
(C)
(D)![]()
C
【解析】
试题分析:因为,
,所以,满足
的
满足
或![]()
解得,
值为
,故选D.
考点:分段函数,指数函数、对数函数的性质.