题目内容
设函数f(x)=p(x-
)-2lnx,
(p是实数,e为自然对数的底数),
(Ⅰ)若f(x)在其定义域内为单调函数,求p的取值范围;
(Ⅱ)若在[1,e]上至少存在一点x0,使得f(x0)>g(x0)成立,求p的取值范围。
(Ⅰ)若f(x)在其定义域内为单调函数,求p的取值范围;
(Ⅱ)若在[1,e]上至少存在一点x0,使得f(x0)>g(x0)成立,求p的取值范围。
解:(Ⅰ)f(x)在其定义域为(0,+∞),f′(x)=
,
要使f(x)为单调增函数,须f′(x)≥0恒成立,
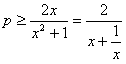
即px2-2x+p≥0恒成立,即
恒成立,
又
,
所以当p≥1时,f(x)在(0,+∞)为单调增函数;
要使f(x)为单调减函数,须f′(x)≤0恒成立,
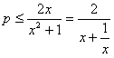
即px2-2x+p≤0恒成立,即
恒成立,
又
,
所以当p≤0时,f(x)在(0,+∞)为单调减函数;
综上所述,f(x)在(0,+∞)为单调函数,p的取值范围为p≥1或p≤0。
(Ⅱ)因
在[1,e]上为减函数,所以g(x)∈[2,2e],
①当p≤0时,由(Ⅰ)知f(x)在[1,e]上递减
f(x)max=f(1)=0<2,不合题意;
②当p≥1时,由(Ⅰ)知f(x)在[1,e]上递增,f(1)<2,
又g(x)在[1,e]上为减函数,
故只需f(x)max>g(x)min,x∈[1,e],
即
;
③当0<p<1时,因
,x∈[1,e],
所以
不合题意;
综上,p的取值范围为
。
要使f(x)为单调增函数,须f′(x)≥0恒成立,
即px2-2x+p≥0恒成立,即
又
所以当p≥1时,f(x)在(0,+∞)为单调增函数;
要使f(x)为单调减函数,须f′(x)≤0恒成立,
即px2-2x+p≤0恒成立,即
又
所以当p≤0时,f(x)在(0,+∞)为单调减函数;
综上所述,f(x)在(0,+∞)为单调函数,p的取值范围为p≥1或p≤0。
(Ⅱ)因
①当p≤0时,由(Ⅰ)知f(x)在[1,e]上递减
②当p≥1时,由(Ⅰ)知f(x)在[1,e]上递增,f(1)<2,
又g(x)在[1,e]上为减函数,
故只需f(x)max>g(x)min,x∈[1,e],
即
③当0<p<1时,因
所以
综上,p的取值范围为
练习册系列答案
相关题目