题目内容
已知函数
.
(1)求函数f(x)在(0,2)上的最小值;
(2)设g(x)=﹣x2+2mx﹣4,若对任意x1∈(0,2),x2∈[1,2],不等式f(x1)≥g(x2)恒成立,求实数m的取值范围.
(1)求函数f(x)在(0,2)上的最小值;
(2)设g(x)=﹣x2+2mx﹣4,若对任意x1∈(0,2),x2∈[1,2],不等式f(x1)≥g(x2)恒成立,求实数m的取值范围.
解:(1)求导函数,可得
∵0<x<2,令f′(x)>0,可得1<x<2;
令f′(x)>0,可得0<x<1
∴函数f(x)在(0,2)上的单调递增区间是(1,2),单调递减区间是(0,1)
∴函数f(x)在x=1处,取得极小值,且为最小值
(2)由(1)知,f(x)min=
对任意x1∈(0,2),x2∈[1,2],不等式f(x1)≥g(x2)恒成立,
等价于﹣x2+2mx﹣4
,x,∈[1,2]恒成立.
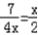
∴
,x,∈[1,2]恒成立.
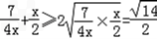
∵
,当且仅当
,即
时取等号
∴
∴实数m的取值范围为
∵0<x<2,令f′(x)>0,可得1<x<2;
令f′(x)>0,可得0<x<1
∴函数f(x)在(0,2)上的单调递增区间是(1,2),单调递减区间是(0,1)
∴函数f(x)在x=1处,取得极小值,且为最小值
(2)由(1)知,f(x)min=
对任意x1∈(0,2),x2∈[1,2],不等式f(x1)≥g(x2)恒成立,
等价于﹣x2+2mx﹣4
∴
∵
∴
∴实数m的取值范围为
练习册系列答案
相关题目