题目内容
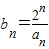
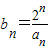
数列{an}满足a1=2,(1)设
(2)设
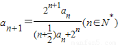
【答案】分析:(1)利用数列递推式,结合条件,可得bn+1-bn=
,利用叠加法,可求数列{bn}的通项公式;
(2)确定数列的通项,利用叠加法求和,利用数列的单调性,即可得到结论.
解答:解:(1)∵
,
∴
-
=
∵
∴bn+1-bn=
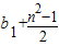
∴bn=b1+(b2-b1)+…+(bn-bn-1)=
∵
,a1=2,
∴b1=1
∴bn=
;
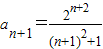
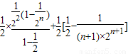
(2)由(1)知,an=
,∴
,
∴
=
[
]
∴Sn=
=
∵
=
得到递减,
∴
=
∴
,即
.
点评:本题考查数列的通项与求和,考查叠加法的运用,考查学生分析解决问题的能力,属于中档题.
(2)确定数列的通项,利用叠加法求和,利用数列的单调性,即可得到结论.
解答:解:(1)∵
∴
∵
∴bn+1-bn=
∴bn=b1+(b2-b1)+…+(bn-bn-1)=
∵
∴b1=1
∴bn=
(2)由(1)知,an=
∴
∴Sn=
∵
∴
∴
点评:本题考查数列的通项与求和,考查叠加法的运用,考查学生分析解决问题的能力,属于中档题.
练习册系列答案
相关题目