题目内容
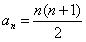
在同一个平面内,两两相交且任意三条不共点的n+1条直线的交点个数用数列{an}表示。
(1)请写出a1,a2,a3,a4,a5的值及数列{an}的通项公式;
(2)若
,Sn是数列{bn}的前n项和,求证: 2n<Sn<2n+3;
(3)若
,Tn是数列{cn}的前n项和,求证:
。
(1)请写出a1,a2,a3,a4,a5的值及数列{an}的通项公式;
(2)若
(3)若
(1)解:
=1,
=3,
=6,
=10,
=15,
;
(2)证明:“略”;
(3)证明:“略”。
(2)证明:“略”;
(3)证明:“略”。
练习册系列答案
相关题目