题目内容
甲、乙两人破译一种密码,它们能破译的概率分别为(1)恰有一人能破译的概率;
(2)至多有一人破译的概率;
(3)若要破译出的概率为不小于
【答案】分析:(1)恰有一人能破译包括两种情况,“甲能译出,乙不能译出”,“甲不能译出,乙能译出”,分别求出概率,再相加.
(2)至多有一人破译,包括三种情况,“甲乙都不能译出”,“甲能译出,乙不能译出”,“甲不能译出,乙能译出”,分别求出概率,再相加.
(3)先设至少需要n个甲这样的人,再求出n个甲这样的人译出的概率,让这个概率大于等于
,求出n的范围,找最小的整数n即可.
解答:解:(1)设A为“甲能译出”,B为“”,则A、B互相独立,从而A与
、
与B
与
均相互独立.
“恰有一人能译出”为事件
,又
与
互斥,
则
.
(2)“至多一人能译出”的事件
,且
、
、
互斥,
∴
.
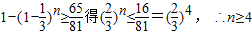
(3)设至少需要n个甲这样的人,而n个甲这样的人译不出的概率为
,
∴n个甲这样的人能译出的概率为
,
由
∴至少需4个甲这样的人才能满足题意.
点评:本题考查了相互独立事件概率的求法,做题时要认真分析.
(2)至多有一人破译,包括三种情况,“甲乙都不能译出”,“甲能译出,乙不能译出”,“甲不能译出,乙能译出”,分别求出概率,再相加.
(3)先设至少需要n个甲这样的人,再求出n个甲这样的人译出的概率,让这个概率大于等于
解答:解:(1)设A为“甲能译出”,B为“”,则A、B互相独立,从而A与
“恰有一人能译出”为事件
则
(2)“至多一人能译出”的事件
∴
(3)设至少需要n个甲这样的人,而n个甲这样的人译不出的概率为
∴n个甲这样的人能译出的概率为
由
∴至少需4个甲这样的人才能满足题意.
点评:本题考查了相互独立事件概率的求法,做题时要认真分析.
练习册系列答案
相关题目