题目内容
已知圆
:
,设点
是直线
:
上的两点,它们的横坐标分别是
,点
在线段
上,过
点作圆
的切线
,切点为
.
(1)若
,
,求直线
的方程;
(2)经过
三点的圆的圆心是
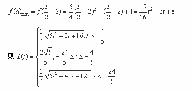
,求线段
长的最小值
.
练习册系列答案
相关题目
题目内容
已知圆
:
,设点
是直线
:
上的两点,它们的横坐标分别是
,点
在线段
上,过
点作圆
的切线
,切点为
.
(1)若
,
,求直线
的方程;
(2)经过
三点的圆的圆心是
,求线段
长的最小值
.