题目内容
(本小题满分12分)
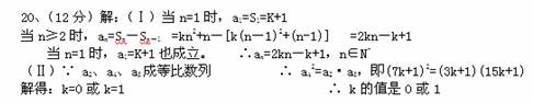
设Sn为数列{an}的前n 项和, Sn=kn2+n,n∈N*, 其中k是常数。
(Ⅰ)求an
(Ⅱ)a2、a4、a8成等比数列,求k的值。
答案
(本小题满分12分)已知函数,且。①求的最大值及最小值;②求的在定义域上的单调区间.
(2009湖南卷文)(本小题满分12分)
为拉动经济增长,某市决定新建一批重点工程,分别为基础设施工程、民生工程和产业建设工程三类,这三类工程所含项目的个数分别占总数的、、.现有3名工人独立地从中任选一个项目参与建设.求:
(I)他们选择的项目所属类别互不相同的概率; w.w.w.k.s.5.u.c.o.m
(II)至少有1人选择的项目属于民生工程的概率.
某民营企业生产A,B两种产品,根据市场调查和预测,A产品的利润与投资成正比,其关系如图1,B产品的利润与投资的算术平方根成正比,其关系如图2,
(注:利润与投资单位是万元)
(1)分别将A,B两种产品的利润表示为投资的函数,并写出它们的函数关系式.(2)该企业已筹集到10万元资金,并全部投入到A,B两种产品的生产,问:怎样分配这10万元投资,才能使企业获得最大利润,其最大利润为多少万元.