题目内容
已知函数f(x)=(x2+x-a)e(1)当a=1时,求函数f(x)的单调区间;
(2)当x=-5时,f(x)取得极值,求函数f(x)在[m,m+1](m≥-5)上的最小值.
【答案】分析:(1)求函数的导数,利用导数确定函数的单调区间.
(2)利用导数确定函数的极值,通过讨论确定函数在给定区间上的最小值.
解答:解:(1)
,
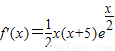
当a=1时,f'(x)=x(x+3)ex.
解f'(x)>0得x>0或x<-3,解f'(x)<0得-3<x<0,
所以f(x)单调增区间为(-∞,-3)和(0,+∞),单调减区间为(-3,0),
(2)当x=-5时,f(x)取得极值,所以
,解得a=2(经检验a=2符合题意)所以
.
所以函数f(x)在(-∞,-5),(0,+∞)递增,在(-5,0)递减
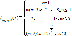
当-5≤m≤-1时,f(x)在[m,m+1]单调递减,
.
当-1<m<0时,m<0<m+1,
f(x)在[m,0]单调递减,在[0,m+1]单调递增,fmin?(x)=f(0)=-2,
当m≥0时,f(x)在[m,m+1]单调递增,
.
综上,f(x)在[m,m+1]上的最小值
.
点评:本题主要考查利用导数研究函数的性质,要求熟练掌握函数的单调性,奇偶性和函数最值和单调性之间的关系,考查学生的运算能力,综合性较强.
(2)利用导数确定函数的极值,通过讨论确定函数在给定区间上的最小值.
解答:解:(1)
当a=1时,f'(x)=x(x+3)ex.
解f'(x)>0得x>0或x<-3,解f'(x)<0得-3<x<0,
所以f(x)单调增区间为(-∞,-3)和(0,+∞),单调减区间为(-3,0),
(2)当x=-5时,f(x)取得极值,所以
| x | (-∞,-5) | -5 | (-5,0) | (0,+∞) | |
| f'(x) | + | - | + | ||
| f(x) | ↗ | ↘ | ↗ |
当-5≤m≤-1时,f(x)在[m,m+1]单调递减,
当-1<m<0时,m<0<m+1,
f(x)在[m,0]单调递减,在[0,m+1]单调递增,fmin?(x)=f(0)=-2,
当m≥0时,f(x)在[m,m+1]单调递增,
综上,f(x)在[m,m+1]上的最小值
点评:本题主要考查利用导数研究函数的性质,要求熟练掌握函数的单调性,奇偶性和函数最值和单调性之间的关系,考查学生的运算能力,综合性较强.
练习册系列答案
相关题目
已知函数f(x)=x2-bx的图象在点A(1,f(1))处的切线l与直线3x-y+2=0平行,若数列{
}的前n项和为Sn,则S2010的值为( )
| 1 |
| f(n) |
A、
| ||
B、
| ||
C、
| ||
D、
|