题目内容
某品牌汽车的4
店,对最近100位采用分期付款的购车者进行了统计,统计结果如下表所示:已知分3期付款的频率为0.2,且4
店经销一辆该品牌的汽车,顾客若一次付款,其利润为1万元;若分2期付款或3期付款,其利润为1.5万元;若分4期付款或5期付款,其利润为2万元.用
表示经销一辆该品牌汽车的利润.
|
付款方式 |
一次 |
分2期 |
分3期 |
分4期 |
分5期 |
|
频数 |
40 |
20 |
a |
10 |
b |
(1)若以频率作为概率,求事件
:“购买该品牌汽车的3位顾客中,至多有1位采用分3期付款”的概率
;
(2)求
的分布列及其数学期望
.
(1)
;(2)
的分布列为:
|
|
1 |
1.5 |
2 |
|
|
0.4 |
0.4 |
0.2 |
.
【解析】
试题分析:(1)利用所有频数的和为100,频率
,独立充富士见的概率求解;(2)经销一辆该品牌汽车的利润
的取值分别为1,,1.5,2,列出分布列,用求数学期望的公式求解.
试题解析:(1)依题意,
,即
,
又已知分3期付款的频率为0.2,则
,![]()
,
,
若以频率作为概率,求事件
:“购买该品牌汽车的3位顾客中,至多有1位采用分3期付款”的概率
;
则
.
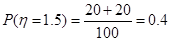
(2)依题意,经销一辆该品牌汽车的利润
的取值分别为1,,1.5,2,
![]()
,
,
,
![]()
的分布列为:
|
|
1 |
1.5 |
2 |
|
|
0.4 |
0.4 |
0.2 |
![]()
.
考点:古典概型,独立重复事件的概率,随机事件的分布列及期望.
| 付款方式 | 分1期 | 分2期 | 分3期 | 分4期 | 分5期 |
| 频 数 | 40 | 20 | 20 | 10 | 10 |
某品牌汽车的4S店,对最近100位采用分期付款的购车者进行统计,统计结果如下表所示:
| 付款方式 | 分1期 | 分2期 | 分3期 | 分4期 | 分5期 |
| 频 数 | 40 | 20 | 20 | 10 | 10 |
4S店销售一辆该品牌的汽车,顾客分1期付款,其利润为1万元;分2期或3期付款,其利润为1.5万元;分4期或5期付款,其利润为2万元.该4S店进行年末促销活动:每辆汽车按让利
销售,并送1000元油卡. 若以频率作为概率,设促销活动期间,经销一辆汽车的利润为
,则
的数学期望
= ▲ 万元.