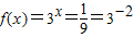
题目内容
已知函数
【答案】分析:分类两种情况x≤1和x>1进行讨论.
解答:解:(1)若x≤1,则
,
所以x=-2,满足题意;
(2)若x>1,则
,
所以
,与x>1矛盾,故舍去,
综上所述x=-2,
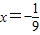
故答案为-2.
点评:本题考察函数求值类问题,属中档题.注意此题很容易忽视分类讨论.
解答:解:(1)若x≤1,则
所以x=-2,满足题意;
(2)若x>1,则
所以
综上所述x=-2,
故答案为-2.
点评:本题考察函数求值类问题,属中档题.注意此题很容易忽视分类讨论.
练习册系列答案
相关题目