题目内容
函数f(x)=sin(2x+
)图象的对称轴方程可以为( )
A.x=
B.x=
C.x=
D.x=![]()
【答案】
A
【解析】
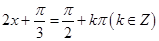
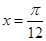
试题分析:对于函数
的对称轴方程为
,则令
,解得函数
的对称轴方程为
,当
,有
.所以正确答案为A.
考点:正弦函数的对称轴
练习册系列答案
相关题目
题目内容
函数f(x)=sin(2x+
)图象的对称轴方程可以为( )
A.x=
B.x=
C.x=
D.x=![]()
A
【解析】
试题分析:对于函数
的对称轴方程为
,则令
,解得函数
的对称轴方程为
,当
,有
.所以正确答案为A.
考点:正弦函数的对称轴