题目内容

已知△ABC中,A,B,C的对边分别为a,b,c,且.

(1)若,求边c的大小;

(2)若a=2c,求△ABC的面积.

 

【答案】

(1);(2).

【解析】

试题分析:本题考查解三角形中的正弦定理余弦定理的运用以及运用倍角公式、两角和与差的正弦公式等三角公式进行三角变换的能力和利用三角形面积公式求面积.第一问,先利用倍角公式降幂,再利用两角和与差的正弦公式化简,利用特殊角的三角函数值求角,注意是在三角形中求角,角有范围限制,再利用正弦定理求边长;第二问,先由余弦定理求边,从而求边,再利用三角形面积公式求面积.

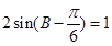
试题解析:∵,∴,∴

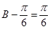
(舍),得

又∵,则

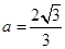
由正弦定理得,,得.

(2)由余弦定理

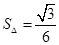
,代入解得,从而

.

考点:1.倍角公式;2.正弦定理;3.余弦定理;4.三角形面积公式;5.两角和与差的正弦公式.

 

练习册系列答案
相关题目

违法和不良信息举报电话:027-86699610 举报邮箱:58377363@163.com

精英家教网