题目内容
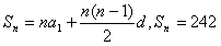
等差数列{an}的前n项和记为Sn,已知a10=30,a20=50。
(Ⅰ)求通项an;
(Ⅱ)若Sn=242,求n。
解:(Ⅰ)由
,
得方程组
,
解得
,
所以
;
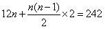
(Ⅱ)由
,得方程
,
解得n=11或n=-22(舍去)。
得方程组
解得
所以
(Ⅱ)由
解得n=11或n=-22(舍去)。
练习册系列答案
相关题目
设等差数列{an}的前n项和为Sn,则a5+a6>0是S8≥S2的( )
| A、充分而不必要条件 | B、必要而不充分条件 | C、充分必要条件 | D、既不充分也不必要条件 |