题目内容
在研究硝酸钠的可溶性程度时,对于不同的温度观测它在水中的溶解度,得观测结果如下:
| 温度x | 0 | 10 | 20 | 50 | 70 |
| 溶解度y | 66.7 | 76.0 | 85.0 | 112.3 | 128.0 |
由资料看y与x线性相关,试求回归方程.
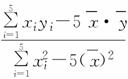
【解】 x=30,y=
=93.6,
≈0.8809,
=93.6-0.880 9×30=67.173.∴回归方程为
=0.880 9x+67.173.
练习册系列答案
相关题目
已知x与y之间的一组数据如下表,则y与x的线性回归方程
必过点________.
| x | 0 | 1 | 2 | 3 |
| y | 1 | 3 | 5 | 7 |
下表是收集到的新房屋的销售价格y和房屋的大小x的数据.
| 房屋的大小/m2 | 115 | 110 | 80 | 135 | 105 |
| 销售价格/万元 | 24.8 | 21.6 | 18.4 | 29.2 | 22 |
(1)画出数据的散点图;
(2)求y对x之间的线性回归方程,并在散点图中加上回归直线;
(3)此回归直线有意义吗?并回答回归系数的几何意义.